產品中心
農殘、獸藥及化肥類
|
產品編號 |
英文名稱 |
CAS號 |
包裝 |
|
Y1822 |
Moroxydine hydrochloride |
3160-91-6 |
可根據客戶要求訂制 |
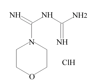
產品編號:Y1822
英文名稱:Moroxydine hydrochloride
CAS號: 3160-91-6
分析標準品,99.8%
分子式 C6H14ClN5O 分子量207.66

基本信息:
熔點 211-214°C
描述
別名 鹽酸嗎啉胍 ;病毒靈,嗎啉胍,嗎啉咪胍,鹽酸嗎啉雙胍,N-(2-胍基-乙亞氨基)-嗎啉鹽酸鹽,(alpha-嗎啉-alpha-亞胺甲基)胍;ABOB
