產品中心
農殘、獸藥及化肥類
|
產品編號 |
英文名稱 |
CAS號 |
包裝 |
|
Y1805 |
Heptachlor exo-epoxide |
1024-57-3 |
可根據客戶要求訂制 |
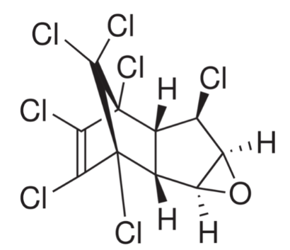
產品編號:Y1805
英文名稱:Heptachlor exo-epoxide
CAS號: 1024-57-3
分析標準品
分子式 C10H5Cl7O 分子量389.32

基本信息:
密度 1.91
存貯條件 2-8°C保存
描述
別名 HCE;環氧庚氯烷;環氧七氯;exo-1,4,5,6,7,8,8-Heptachloro-2,3-epoxy-4,7-methano-3a,4,7,7a-tetrahydroindane; HCE
