產品中心
農殘、獸藥及化肥類
|
產品編號 |
英文名稱 |
CAS號 |
包裝 |
|
Y1602 |
Cumyluron |
99485-76-4 |
可根據客戶要求訂制 |
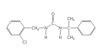
產品編號:Y1602
英文名稱:Cumyluron
CAS號: 99485-76-4
分析標準品,99.5%
分子式 C17H19ClN2O 分子量315.8

基本信息:
密度 1.213
熔點 166-167°C
描述
別名 可滅隆;1-(2-氯苯基)-3-(1-甲基-1-苯基乙基)脲;Dibenzyluron;1-(2-Chlorobenzyl)-3-(alpha,alpha-dimethylbenzyl)urea;IC 940;JC 940
應用 主要用于水稻(移栽和直播)田廟前防除重要的一年生和多年生禾本科雜草。使用劑量為1.2~204kg(a.i.)/ha。
